

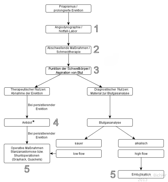
Beim Priapismus handelt es sich um eine Notfallsituation, die eine sofortige Einweisung in eine urologische Fachklinik erfordert. Die Notfallbehandlung erfolgt nach einem Stufenplan (Abbildung 1):
b
Über eine Farbdopplersonographie wird zunächst die Durchblutungssituation des Penis untersucht (Abbildung 3). Darüber hinaus werden im Notfall-Labor Blutuntersuchungen (Gerinnungsstatus, Differentialblutbild [Leukämie?], Blutzucker, kleines Blutbild) durchgeführt.
Zur Entlastung des Patienten erfolgt eine Schmerztherapie (z.B. 1 Ampulle Dipidolor: Opioid-Analgetikum), Sedation (z.B. 1 Amp. Diazepam) bzw. abschwellende Maßnahmen/Kühlung
Literatur:Mutschler: "Arzneimittelwirkungen", WVG Stuttgart, 2001.
Durch Blutaspiration aus den Schwellkörpern (Corpora cavernosa) z.B. mit großkalibriger Butterfly-Kanüle (200-500 ml Blut, ggf. Spülung mit NaCl/Heparin) erreicht man einerseits eine Entlastung des Schwellkörpers (Therapie), andererseits wird dadurch diagnostisch eine Blutgas-Analyse zur Unterscheidung von Low-Flow- und High-Flow Priapismus ermöglicht (Abbildung 6).
Die Differentialdiagnose der Formen ist für die Behandlung von Bedeutung.
Bei persistierender Erektion erfolgt zunächst die intracavernöse Injektion eines Antidots (a-Sympathicomimetikum: Phenylephrine). Führt auch dies nicht zum Erfolg, muss eine schnelle operative Behandlung eingeleitet werden.
Die operativen Optionen unterscheiden sich maßgeblich, je nach dem ob ein High-flow oder Low-flow-Priapismus vorliegt.
Ziel der Operation ist der Abfluss des Blutes aus dem Corpus cavernosum. Dabei wird zunächst eine Stanzanastomose durchgeführt. Führt sie nicht zum Erfolg, wird eine Shunt-Operationen nach Grayhack oder Quackels angewandt (Abbildung 7).
Stanzanastomose zur Bildung eines Shunts zwischen Corpus Cavernosum und Spongiosum mit einer Biopsie-Nadel (Ebbehoy-Winter-Shunt): Mit einer Tru-cut-Biopsienadel wird durch die Glans penis in die Corpora cavernosa eingestochen und somit ein Shunt zur Detumeszenz der Schwellkörper erzeugt (Abbildung 7,8). Durch diese Maßnahme wird ein verbesserter venöser Abstrom angestrebt.
Shuntoperationen: Bei der Operation nach Grayhack wird eine Anastomose zwischen Vena saphena (V) magna und Corpus cavernosum (CC) hergestellt (Abbildung 9).
Bei der Operation nach Quackels erfolgt der Blutabfluss über einen Shunt zwischen Corpus cavernosum und Corpus spongiosum . Für den Shunt werden zwei ventrale Zugangswege (perineal bzw. am Penisschaft) benutzt (Abbildung 10).
Ziel der operativen Behandlung ist die Minderung der Blutzufuhr zunächst durch ein Sympaticomemeticum bzw. eine angiographiegesteuerte Embolisation oder Ligatur der ursächlichen arteriovenösen Fistel bzw. der Arteria pudendalis interna
Literatur:Keoghane, S.R. et al: "The aetiology, pathogenesis and management of priapism", BJU int, 90, 149, 154, 2002 .
Zusätzliche Maßnahmen wie Heparinisierung, Antibiotika und eine Urinableitung (suprapubische Zystostomie) sind angezeigt.
Nach den primären Maßnahmen ist die Behandlung einer unter Umständen bestehenden Grunderkrankung erforderlich. Nach der Notfalldiagnostik und -therapie beginnt deshalb eine weiterführende Diagnostik zur genaueren Abklärung der Ursachen des Priapismus.